
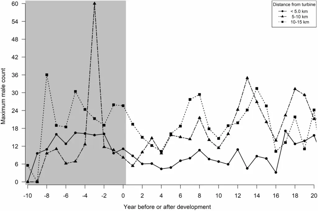
WEST Senior Biologist, Chad LeBeau is a co-author on the recently published research article, “Trends in greater sage-grouse lek counts relative to existing wind energy development in Wyoming,” published in Wildlife Society Bulletin. The article examines the impact of wind energy infrastructure on greater sage-grouse populations in Wyoming. WEST and University of Wyoming researchers analyzed 78 breeding sites near 10 wind energy facilities and found no significant decline in male sage-grouse attendance at these sites for up to 10 years following development. The findings suggest that careful siting of wind turbines can have important implications for sage-grouse conservation.
Check out the article here: Trends in greater sage‐grouse lek counts relative to existing wind energy development in Wyoming – Smith – Wildlife Society Bulletin – Wiley Online Library